bevictor伟德国际1946官网
设为首页
|
加入收藏
学校主页
首页
bevictor伟德国际1946官网
学院简介
学院新闻
专业设置
软件技术
大数据技术
计算机网络技术
数字媒体技术
招生就业
招生就业
教学科研
教学成果
科研成果
党团思政
通知公告
师生风采
联系我们
通知公告
通知公告
首页
>
通知公告
> 正文
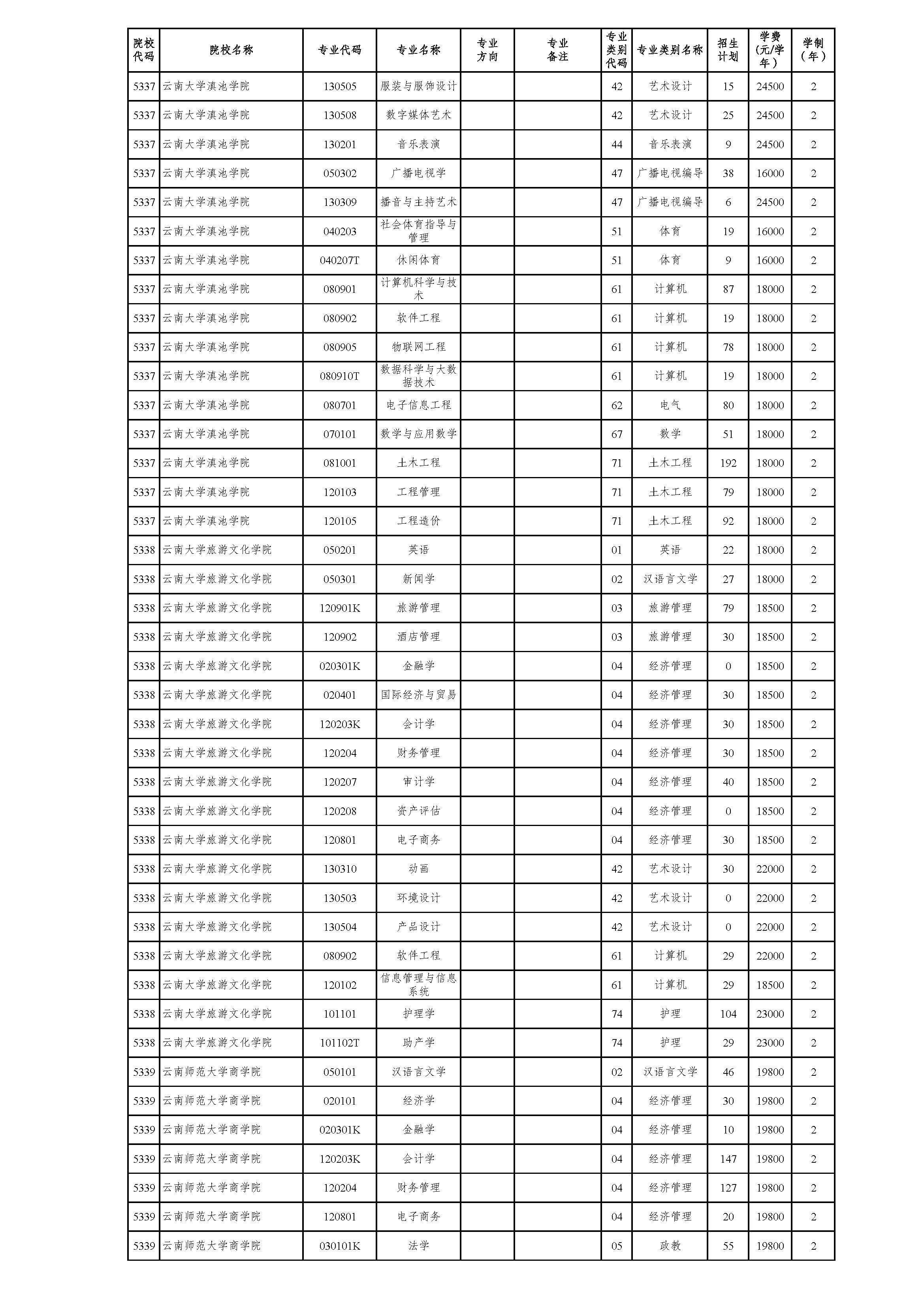
云南省2021年普通高校专升本院校招生计划(参加2021年4月17-18日省统考普通批次)
发布者:信息工程学院 时间:2021-06-11 00:00:00 浏览:
信息工程学院2021-06-11
上一条:云南省2021年高职扩招考生须知
下一条:2021年校园招聘会信息工程学院招聘岗位汇总